蛋氨酸,化學式C5H11NO2S,又名甲硫氨酸,有L-和D-蛋氨酸兩種同分異構體,是唯一含硫的必需氨基酸,亦是單胃動物自身無法合成、必須從外源攝入的第一限制性氨基酸。其核心應用于飼料添加劑領域,占全球總消費量的90%以上,同時廣泛應用于食品營養強化、醫藥中間體等場景。它能夠顯著提升飼料蛋白利用率、降低養殖成本、減少養殖端氮排放,是關乎國家糧食安全與畜牧產業高質量發展的戰略性化工產品。

附圖1 蛋氨酸的結構
蛋氨酸生產屬于技術密集、資金密集且受環保強約束的高端化工產業,生產流程長,對工藝控制精度要求極高,行業進入壁壘顯著。
2026年以來,國內蛋氨酸價格開啟持續上行走勢,截至3月中旬,固體蛋氨酸市場主流成交均價較年初漲幅超80%,液體蛋氨酸均價較年初漲幅近20%,價格已突破2025年全年高點。本輪漲價核心驅動因素,一是中東地緣沖突升級,推高蛋氨酸生產的能源與丙烯、甲醇、硫磺等核心原料成本;二是海外龍頭企業裝置停產,市場供給階段性偏緊,進一步放大了價格漲幅。
一、蛋氨酸品類及產業基礎
現有的工業化蛋氨酸可分為三大核心品類,不同品類對應著差異化的生產工藝與應用場景,構成了產業生產體系的基礎框架。
1、DL-蛋氨酸(固體蛋氨酸)
是當前市場的絕對主流品類,約占全球總消費量的60%。產品為白色結晶粉末,純度高,易于儲存和運輸,適用于全品類畜禽飼料配方,是工業化生產技術最為成熟、市場競爭最為充分的品類。特殊之處在于,蛋氨酸D構型可在動物體內自動轉化為具有生物活性的L構型,D、L型營養價值幾乎相同,因此飼料級產品無需進行繁雜的光學拆分,大幅降低了工業化生產成本。
2、羥基蛋氨酸類似物(液體蛋氨酸)
羥基蛋氨酸類似物(MHA)約占全球總消費量的40%。該品類無需進行結晶提純,生產流程更短,液態形態可通過專用設備實現精準計量、自動化連續添加,適用于大型飼料企業的規模化生產。隨著國內養殖與飼料行業自動化水平的提升,其市場接受度持續提高。
3、L-蛋氨酸
為左旋單體結構,生物活性遠高于消旋體,主要應用于醫藥、高端食品與特種飼料領域。傳統生產以化學拆分法為主,近年來生物合成法成為該品類的核心研發方向。
從生產技術維度劃分,蛋氨酸制備可分為化學合成法與生物合成法兩大類。其中,化學合成法憑借成熟的工藝體系、穩定的產品收率與可控的生產成本,占據全球99%以上的市場供給;生物合成法作為綠色低碳的新興技術路線,正處于研發突破與小規模產業化試點階段。
二、主流工藝與技術進展
歷經數十年的技術迭代,蛋氨酸生產已形成以化學合成法為絕對主體、生物合成法為重要研發方向的技術體系。其中,化學合成法以丙烯醛法為工業化核心,衍生出海因法與氰醇法兩大成熟路線,是當前全球蛋氨酸生產的技術基石。
(一)化學合成工藝
化學合成法的核心優勢在于其原料多為石化工業初級產品,來源廣泛、價格可控,工藝總收率可穩定在80%以上。核心路線均以丙烯醛、甲硫醇為基礎原料,先接入甲硫基基團,再生成羧基與氨基基團,最終制得蛋氨酸成品。
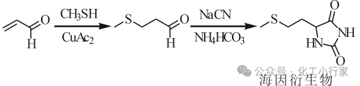
1、海因法合成工藝
海因法是全球最早實現大規模工業化的蛋氨酸生產技術,核心反應原理為:丙烯醛與甲硫醇經加成反應生成甲硫基丙醛,再與氰化鈉、碳酸銨縮合生成5-(β-甲硫乙基)乙內酰脲(海因中間體),隨后經堿性水解、酸化中和、濃縮結晶、分離干燥等步驟制得DL-蛋氨酸成品。該工藝環化反應收率接近100%,總收率超過80%,流程簡單、自動化程度高,是目前行業研究最深入的蛋氨酸制備工藝。


附圖2 海因法合成路線
該工藝在國際上的代表企業為德國贏創,在國內,浙江新和成實現了該工藝的自主突破與綠色化升級。其研發的清潔化海因法工藝構建了全流程物料循環體系,結晶母液經處理后可全部循環套用,基本達成無廢水、廢氣排放的目標?;诤诵脑?-甲硫基丙醛的總摩爾收率最高可達94.0%,產品純度穩定維持在99%以上。
寧夏紫光天化針對傳統海因法堿耗高、副產硫酸鈉量大的問題,研發了碳酸鈉循環水解、母液全循環技術,大幅降低了原料消耗與環保處理成本,實現了工藝的綠色化升級。
2、氰醇法合成工藝
氰醇法亦稱改良斯特雷克法,是當前全球應用最為廣泛的生產技術,可分為固體蛋氨酸與液體蛋氨酸兩大分支。
?。?)DL-蛋氨酸
DL-蛋氨酸氰醇法的核心原理為:甲硫基丙醛與氫氰酸加成生成氰醇中間體,再經氨化、水解、中和、結晶制得成品,代表企業為法國安迪蘇。該工藝反應步驟相對較短,單線產能彈性較大,副產物硫酸銨可直接作為氮肥進行資源化利用,環保成本較低。然而,氰醇中間體穩定性較差,對反應控制精度要求極高,技術壁壘顯著。
?。?)液體蛋氨酸
液體羥基蛋氨酸氰醇法無需氨化與結晶環節,氰醇中間體經直接水解、濃縮即可制得成品,代表企業為美國諾偉司。該工藝生產流程最短,固定資產投資與能耗相較于固體工藝顯著降低,無大量副產物處理壓力,是當前行業內經濟性較為突出的生產工藝之一。

附圖3 氰醇法合成路線
(二)新興生物合成工藝
生物合成法是蛋氨酸產業技術研發的重要方向,可分為微生物發酵法與酶催化轉化法兩類,其核心優勢在于反應條件溫和、原料可再生、環境友好,可直接合成高光學純度的L-蛋氨酸。
1、微生物發酵法
微生物發酵法以葡萄糖、甘油等生物質為原料,通過基因工程改造的工程菌株發酵合成L-蛋氨酸,但其核心瓶頸在于發酵產率偏低,規?;a成本較化學法仍存在顯著差距。目前,日本味之素、贏創及國內梅花生物等企業均布局了相關核心專利,但尚未實現大規模工業化。
2、酶催化轉化法
酶催化轉化法以化學合成中間體為原料,通過固定化酶催化制備高純度L-蛋氨酸,產品光學純度可達99.9%以上,已實現千噸級規模化生產,主要應用于醫藥與高端食品領域。
截至2025年末,全球生物法蛋氨酸總產能不足5萬噸/年,市場占比不足3%,仍以技術研發與小規模試點為主。
三、產能布局與發展現狀
蛋氨酸產業長期處于高度寡頭壟斷格局。2010年之前,全球產能幾乎被贏創、安迪蘇、諾偉司、住友化學四大國際巨頭所壟斷,中國市場90%以上的需求依賴進口。近年來,隨著國內企業技術突破與產能擴張,全球蛋氨酸產能重心逐步向中國轉移,形成了國際巨頭與國內頭部企業同臺競爭的新格局。
(一)全球蛋氨酸產能總體概況
截至2025年末,全球蛋氨酸名義總產能突破230萬噸/年,有效運行產能約200萬噸/年,產能集中度保持在較高水平,前四大國際企業產能占比超78%。全球核心國際企業產能布局如下:
贏創:DL-蛋氨酸80萬噸/年。
安迪蘇歐洲:DL-蛋氨酸8萬噸/年,液體蛋氨酸24萬噸/年。
諾偉司:DL-蛋氨酸32萬噸/年。
住友化學:DL-蛋氨酸10萬噸/年,液體蛋氨酸14萬噸/年。
從區域分布來看,全球蛋氨酸產能已由傳統的歐美、日本核心區域,逐步向亞太地區轉移。中國已成為全球蛋氨酸產能增速最快、產業鏈配套最為完善的國家。
(二)中國蛋氨酸產能發展歷程與現狀
截至2025年末,中國蛋氨酸名義總產能突破91萬噸/年,已成為全球最大的蛋氨酸生產國之一。2025年,國內蛋氨酸自給率超過90%,凈出口量突破15萬噸,實現了從凈進口國向凈出口國的轉變。當前國內核心產能布局為:
新和成:DL-蛋氨酸37萬噸/年,液體蛋氨酸18萬噸/年。
安迪蘇南京:液體蛋氨酸35萬噸/年。
和邦生物:液體蛋氨酸7萬噸/年。
寧夏紫光天化:DL-蛋氨酸11萬噸/年。
四、產業發展總結
蛋氨酸產業的發展核心始終圍繞技術突破與產能布局兩條主線。在技術層面,化學合成法仍是行業的絕對主流,海因法與氰醇法構成了工業化生產的核心技術體系。國內企業已打破國際巨頭的長期技術壟斷,實現了清潔化工藝的創新升級;生物合成法仍處于研發試點階段,尚未對傳統工藝形成規?;娲?/p>

附圖4 山東新和成氨基酸有限公司(DL-蛋氨酸37萬噸/年)
在產能格局層面,全球蛋氨酸產業已從國際寡頭獨家壟斷轉變為國際巨頭與中國頭部企業競爭的新格局。中國實現了從完全依賴進口到成為全球核心供給國的歷史性跨越,在全球產業鏈中的話語權持續增強。2026年中東地緣沖突引發的全球能化產業鏈震蕩,進一步凸顯了蛋氨酸全產業鏈自主可控的重要性。中國本土產業憑借完善的配套體系,展現出更強的抗風險能力與供應鏈穩定性。
未來,蛋氨酸行業的市場競爭將更聚焦于核心工藝優化、生產成本精細化管控與供應鏈穩定保障。擁有自主核心技術、全產業鏈配套能力的企業,將在全球市場競爭中持續占據優勢地位。
參考文獻
[1]浙江新和成股份有限公司,浙江大學.一種清潔的D,L-蛋氨酸制備方法:201210320297.0[P].2014-02-26.
[2]劉勤,李宏.蛋氨酸合成方法概述[J].氨基酸和生物資源,2011,33(03):46-51.DOI:10.14188/j.ajsh.2011.03.007.
[3]卿周君.蛋氨酸生產工藝及核心制備技術研究進展[J].化工管理,2015,(36):174.
[4]Shim J, Shin Y, Lee I, Kim SY. L-Methionine Production. Adv Biochem Eng Biotechnol. 2017;159:153-177. DOI: 10.1007/10_2016_30.
[5] Calderon-Ardila S , Morvan D ,Olivier Péruch,et al.Methionine and its hydroxy analogues: the paths toward their sustainable chemical synthesis[J].Green Chemistry, 2024, 26(8):29.DOI:10.1039/D3GC03826B.
[6]《石化綠色工藝名錄》(2020年版).
[7]《飼料級 DL-蛋氨酸》(GB/T 17810-2009).

-
[03-23]
-
[03-23]
-
[03-23]
-
[03-20]
-
[03-20]
-
[03-19]
-
[03-19]
-
[03-19]
-
[03-18]
-
[03-17]







